Services on Demand
Journal
Article
Indicators
Related links
-
Cited by Google -
Similars in Google
Share
South African Journal of Chemistry
On-line version ISSN 1996-840XPrint version ISSN 0379-4350
S.Afr.j.chem. (Online) vol.79 Durban 2025
https://doi.org/10.17159/0379-4350/2025/v79a14
RESEARCH ARTICLE
Investigations into alternative analytical approaches for N-nitrosamine contamination in drinking water
Akhona Tyhali; Patricia Forbes*
Department of Chemistry, Faculty of Natural and Agricultural Sciences, University of Pretoria, Hatfield, Pretoria, South Africa
ABSTRACT
NNitrosamines (NAs) are probable human carcinogens and their occurrence in drinking water is predominantly attributed to chloramination and chlorination disinfection in the presence of amine species. Although methods have been reported for NAs in drinking water with very low detection limits, the equipment required may not be readily available. The use of alternative instrumentation, namely UPLC-QToFMS and GC-ToFMS was thus investigated. Upon analysis of NAs by UPLC-QToFMS, the same number of peaks (6 or 7) were detected for both atmospheric-pressure chemical ionization (APCI) and electrospray ionization (ESI) for the nine NAs (NDMA, NMEA, NPyr, NDEA, NPip, NMor, NDPA, NDBA, and NDPhA) that were analyzed by UPLC-QToFMS at concentrations >5 μg/mL, but APCI performed better than ESI at lower concentrations (0.5 and 1.0 μg/mL). Importantly, NAs were found to degrade over time with eight out of the nine NAs showing a decrease in peak area response of > 60% after five days when the stability of NA standards was determined by GC-ToFMS. Consequently, the detection of NAs at trace levels becomes even more challenging due to their inherent instability.
Keywords: N-nitrosamine; disinfection byproduct; N-nitrosodimethylamine; drinking water; nitrosamine stability
INTRODUCTION
N-nitrosamines (NAs) are chemical compounds that have been shown to cause cancer in mice.1,2 They have been classified as probable human carcinogens and have received much attention in the research community in recent years.3-5 They occur in water due to a plethora of conditions but mainly due to chloramination and chlorination disinfection in the presence of amine species and are thus referred to as disinfection byproducts (DBPs).6-8 The chloramination disinfection procedure entails the addition of chloramines to water to kill bacteria and viruses. Chloramination can also be achieved indirectly via the addition of chlorine to water that contains ammonia.9,10 The chlorination disinfection process on the other hand involves the addition of chlorine, usually in gaseous or liquid form, to water to kill pathogens.11 NAs are known to possess a higher probability of causing cancer in humans than any other DBPs that exist to date.7
The preconcentration of NAs is conducted predominantly by solid-phase extraction (SPE), while instrumental analysis is typically performed by liquid chromatography-mass spectrometry (LC-MS) or chromatography-mass spectrometry (GC-MS),8,12-18 as reviewed by Tyhali and Forbes.19 Most reports on NA analysis with low limits of detection and quantitation (LODs and LOQs) using LC-MS analysis employ atmospheric-pressure chemical ionization (APCI) with multiple-reaction monitoring (MRM), whilst for GC-MS, chemical ionization (CI) with methanol or ammonia is employed.15,16,20,21 MRM is a targeted approach that provides high sensitivity and can be achieved with a triple quadrupole, or two quadrupoles separated by a collision cell.22-24 Ion suppression problems that occur due to droplet formation are not a concern with APCI, since the analyte is ionized in the gaseous phase through chemical reactions facilitated by reactant ions. In contrast, in electrospray ionization (ESI), the analyte is ionized in the liquid phase within the needle before droplet formation, rendering ESI susceptible to ion suppression.22 The ionization that occurs during CI is softer and leads to less fragmentation and thus improves sensitivity whilst in the case of electron ionization (EI), molecules are highly fragmented adversely affecting sensitivity.25
In this study, challenges concerning the analysis of NAs utilizing chromatographic instruments that are not equipped with CI and MRM are highlighted, in order to potentially expand the number of laboratories which may conduct NA analyses in drinking water. An attempt was thus made to develop a method for the analysis of NAs in water using an ultra-performance liquid chromatograph quadrupole-time of flight mass spectrometer (UPLC-QToFMS) employing ESI and APCI. The results of the two ionization modes were compared. In addition, a GC-ToFMS method was developed and applied to an evaluation of the stability of target NAs. This is the first report that details these analytical challenges, which are a critical consideration in the analysis of NAs in water.
EXPERIMENTAL
Instrumentation
Separation of NAs based on liquid chromatography was performed using a Waters® Synapt G2 high definition mass spectrometry (HDMS) system (Waters Corporation, Milford, United States). The system comprised of a Waters Acquity ultra performance liquid chromatograph (UPLC®) hyphenated to a quadrupole-time-of-flight-mass spectrometer (QToFMS) and equipped with a Kinetex® 1.7 μm EVO C18 100 Å column (2.1 mm ID x 100 mm length). The system was operated with MassLynx™ software (version 4.1) for data acquisition and processing. For gas chromatographic separations, a comprehensive two-dimensional Pegasus® 4D gas chromatograph-time-of-flight mass spectrometer (GCxGC-ToFMS) (Leco Corporation, Michigan, United States) was used, which was operated in one-dimensional mode for this application, using a nonpolar column (Restek RXi-1MS, 30 m length x 0.25 mm ID x 0.25 μm film thickness, Restek, USA).
Chemicals
A nitrosamine standard mixture of 2000 μg/mL in 1 mL methanol (MeOH, Sigma-Aldrich, Darmstadt, Germany and Industrial Analytical, Midrand, South Africa) contained nine analytes (N-nitrosodimethylamine (NDMA), N-nitrosomethylethylamine (NMEA), N-nitrosopyrrolidine (NPyr), N-nitrosodiethylamine (NDEA), N-nitrosopiperidine (NPip), N-nitrosomorpholine (NMor), N-nitrosodi-n-propylamine (NDPA), N-nitrosodi-n-butylamine (NDBA), and N-nitrosodiphenylamine (NDPhA)) and was used in the LC-MS and GC-MS analyses. Pyrene (98%) (Merck, Darmstadt, Germany) was used as a method check standard. LC-MS eluants, namely H2O (0.1% formic acid) and MeOH (0.1% formic acid) (Romil Ltd, Cambridge, United Kingdom) were used for gradient elution.
UPLC-QToFMS method development for N-nitrosamine analysis in water
Separation of the nitrosamine standard mixture was achieved using gradient elution with H2O (0.1% formic acid) and MeOH (0.1% formic acid) at a total flow rate of 0.3 mL/min. Formic acid was added to the mobile phases as a buffer, preservative, and proton source for ionization. The gradient program was started at 97% H2O and 3% MeOH (held for 13.9 min), followed by a linear increase to 100% MeOH (held for 2 min). Subsequently, initial conditions were re-established and the system was re-equilibrated for 3.5 min before the start of the next run. The column temperature was kept constant at 40 °C and the injection volume was 5 μL. The total run time was 20 min. The positive and negative ion mass spectra were collected in separate chromatographic runs (employing the same separation conditions). Mass spectral scans were collected every 0.3 seconds and the raw data was in the form of a continuous profile. Mass-to-charge ratios (m/z) between 50 - 1200 Da were collected.
The accurate masses that were used to extract the NA peaks from the total ion chromatogram (TIC) are provided in Table S1 in the Supplementary Information. In LC-MS analysis, accurate masses of the analyte molecules typically have a +1 charge due to the gain of an extra proton during the ionization process that occurs, resulting in the formation of [M+H]+ ions.7,26 The parameters and conditions of the instrument are provided in Table S2. Electrospray and atmospheric pressure chemical ionization in negative and positive modes (ESI and APCI (+/-)) were compared using sample concentrations of 1 and 5 μg/mL.
Optimization of the mobile phase
The gradient elution scheme was repeated using a similar procedure as described previously but with acetonitrile/HPLC grade water as mobile phase. Additionally, a mobile phase composed of solvent A (10 mM ammonium acetate and 0.01% acetic acid in HPLC grade water) and solvent B (100% MeOH) was used to separate analytes by a gradient elution as follows: solvent B was linearly increased from 35% to 90% in 5 min and was then kept at 90 % for 3 min. B was then reduced back to 35 % for 3.5 min followed by column equilibration for 8.9 min. The injection volume was 5 μL. Analysis was performed in ESI and APCI (+/-) modes (based on Qian et al., 2015).8
Optimization of the injection volume
Standards with NA concentrations of 1 and 5 μg/mL in MeOH were analyzed with a larger injection volume of 30 μL, to try to increase the sensitivity and detect more NAs. A 100 μL sample loop was used to allow for the 30 μL injection volume.
Gc-ToFMs method development for N-nitrosamine analysis in water
GC-ToFMS with split mode injection
The concentrated NA mix standard in MeOH was analyzed as received employing split mode with an initial temperature of 80 °C (hold 12 min) at 30 °C/min and was ramped up to 200 °C (hold 4 min). The ratio of the split was 100: 1 for a 2000 μg/mL sample and the total analysis time was 23.7 min.
GC-ToFMS with splitless mode injection
The splitless mode was employed for the analysis of all other NA standards and samples, with an initial temperature of 40 °C (hold 3 min), ramped up to 80 °C (hold 12 min) at 10°C/min, and was again ramped up to 280 °C (hold 5 min) at 30°C/min. The solvent delay was increased from 1 min to 1.8 min to cut out the solvent peak and to prevent a great proportion of the solvent from reaching the detector which could result in poor chromatography. The total analysis time was 24.5 min. The parameters and conditions that were used are provided in Table S3.
Change of solvent
Due to the polarity mismatch of MeOH and the nonpolar GC column, an attempt was made to replace the solvent with a more nonpolar one to improve the chromatography. A mixture of hexane and acetone (9:1 v/v) was used as a solvent for analysis by GC-ToFMS and a 10 mL stock solution of 10 μg/mL nitrosamine mix standard was prepared in this solvent.
N-nitrosamine stability assessment by GC-ToFMS
The stability analysis was started in the week of 9-14 May 2022, whereby fresh duplicates of 5 μg/mL nitrosamine mixture standard prepared in 1 mL hexane and acetone (9:1 v/v) were analyzed daily over six days to monitor degradation that may have occurred after each day. When this series of analyses (first analysis) was concluded, the second and third analyses were performed 7 and 14 days after the conclusion of the first analysis, respectively. Stock standards (10 μg/mL) were stored in amber vials in the dark in a freezer at -18 °C and fresh 5 μg/mL dilutions thereof were prepared on the day of analysis also into amber vials.
Dilutions of N-nitrosamine standards
A series of analyses of the diluted standard were subsequently conducted in spitless mode every day for one week. The 2000 μg/mL nitrosamine mix primary standard in 1 mL MeOH was diluted to yield a 10 μg/mL stock solution in 10 mL hexane and acetone (9:1 v/v). The 10 μg/mL stock solution was stored in a 12 mL amber vial at -18 °C. Duplicates of fresh 5 μg/mL standards in hexane and acetone were prepared every day in amber vials from the 10 μg/mL stock solution and analyzed by GC-ToFMS. To compensate for uncertainties that may have been introduced by sample injection, fluctuations in the column conditions, and flow rate, a method check standard (pyrene) was then used. Pyrene was chosen as it is more stable than the target analytes and was less likely to degrade (when stored in the dark) and was readily available. A concentration of 10 μg/mL of pyrene was made in hexane and was added to the samples prior to analysis by GC-ToFMS. 500 μL of pyrene was added to 500 μL of 10 μg/mL nitrosamine mix sample solution to yield a final concentration of 5 μg/mL for both the pyrene and the analytes.
RESULTS AND DISCUSSION
uPLC-QToFMS method development for N-nitrosamine analysis
Two different mobile phases (acetonitrile/ultrapure water and MeOH/ ultrapure water) that have been reported by other researchers for the analysis of NAs in water by LC-MS (specifically triple quadrupole tandem MS)13·26 were tested using both APCI and ESI ionization modes. The TIC obtained for each of these two ionization modes is depicted in Fig. 1, from which it can be seen that the same number of analytes (i.e. 6 of the nine analytes) were detected in a 5 μg/mL standard for both of these modes and when two mobile phase systems were employed using a 5 μL injection volume (refer to Fig. 2). A number of additional peaks were present in the TIC, which were likely degradation products of the NAs or contaminants. When the concentration was lowered to 1 μg/mL and when using MeOH/ultrapure water as a mobile phase, three peaks were detected when APCI was employed (NPip, NDPA, NDBA), whilst with ESI only two analytes were detected (NDPA and NDBA). APCI (+/-) was therefore employed for subsequent experiments as more analytes could be detected in this manner.
The means by which the peaks were extracted from the TIC are shown in Fig. 2. For example, NDPhA was extracted using 199.0871 g/mol as an accurate mass, and the resulting mass spectrum had a peak at 169.067 m/z due to a loss of N=O at retention time (Rt) of 5.6 min. The mass spectrum of NDPhA obtained in this work, which was consistent with that reported by Zhao and co-workers21 is shown in Fig. S1 in the Supplementary Information.
A mobile phase composed of solvent A (10 mM ammonium acetate and 0.01% acetic acid in HPLC-grade water) and solvent B (100% MeOH) was used with APCI (+/-). Qian et. al (2015) used this mobile phase system to separate 14 NAs but their instrument employed MRM.8 The instrument used in this study cannot perform MRM as it does not have a triple quadrupole, or two quadrupoles separated by a collision cell. Nonetheless, this mobile phase system was attempted, but yielded no improvements in the sensitivity of the instrument, as the number of NAs detected remained at six and these were the same NAs detected by UPLC-QToFMS (Fig. 2). Therefore, the mobile phase that was used for subsequent experiments was MeOH/ultrapure water with APCI (+/-) for ionization.
Seven different concentrations of the nine NAs listed in Table 1 in MeOH (0.5, 1, 5, 10, 20, 30 and 100 μg/mL) were analyzed by UPLC-QToFMS using a 5 μL injection volume. The mobile phase was MeOH/ultrapure water, and APCI was performed in positive and negative modes. This was done to examine the sensitivity of the instrument and if it could detect the nine NAs at these concentrations. Duplicates were analyzed for each concentration. The check marks in Table 1 indicate that the specific N-nitrosamine was detected at that particular concentration by the instrument using APCI (+/-). The LODs and LOQs were calculated for all analytes based on a linear relationship between the concentration values and the response of the instrument. It is evident that the two lower molecular mass NAs (NDMA and NMEA) were not detected at any of the seven concentrations, whilst NPip, NDPA, and NDBA were detected at all seven concentrations.
Change of injection volume
A change in the sample loop volume from 10 μL to 100 μL was explored to allow for a larger injection volume in order to improve sensitivity and thereby the detection limits of the NAs. A 30 μL injection volume was used, whilst the other conditions were kept constant, to determine whether more peaks would be detected at low concentrations. However, the number of peaks observed did not increase but extensive peak broadening and poor peak shapes were noted as shown in Fig. S2, which had a negative impact on peak resolution. It is worth noting that for the 30 μL injection volume, NMor was detected (Rt = 1.6 min), whilst NDEA that was detected with the 5 μL injection volume was not detected. The other five peaks were the same as those seen in Fig. 1. The overall number of peaks detected was six (NMor, NPyr, NPip, NDPA, NDBA, and NDPhA) as was the case in Fig. 1 (NDEA, NPyr, NPip, NDPA, NDBA, and NDPhA). Therefore, in further experiments, a sample loop of 10 μL was used with an injection volume of 5 μL.
GC-ToFMS method development for N-nitrosamine analysis
A dilution of the original mixed standard at 10 μg/mL in MeOH was analyzed employing splitless mode. The peak areas were very poor for this analysis as can be seen in Fig 3A. This was attributed to the solvent (MeOH) mismatch with the nonpolar column. Therefore, an attempt was made to replace the solvent with a more nonpolar one to improve the chromatography. A mixture of hexane and acetone (9:1 v/v) was used as the solvent to make up a 10 μg/mL mixed standard solution, and 1 μL of this standard was subsequently analyzed by GC-ToFMS. Acetone was added to improve miscibility between the hexane and the mixed standard which was obtained in MeOH. Despite the tailing of peaks, a better chromatogram with larger peak areas (refer to Fig. 3B) was obtained with this new solvent compared to MeOH (Fig. 3A).
A mixture of hexane and acetone (9:1 v/v) as a solvent was subsequently used for the NA stability analysis by GC-ToFMS. It is worth noting that the instrument was not able to detect most NAs, especially NDMA, at concentrations around 1 μg/mL even when these optimum conditions were applied as seen in Fig. S3. It is important to note that with GC the injection volume is limited to smaller sample volumes than with LC, which thus negatively impacts the LODs achieved by GC.
N-Nitrosamine stability assessment by GC-ToFMS
NAs have been reported to be prone to photodegradation.27 It is thus crucial that sample bottles containing NAs must be amber or covered with foil to protect them from light exposure. The N-NO bond in NAs can undergo hemolytic cleavage when exposed to ultraviolet light which leads to their destruction.28 This has, on the other hand, been exploited by some WTPs as a means to remove NAs from water.27
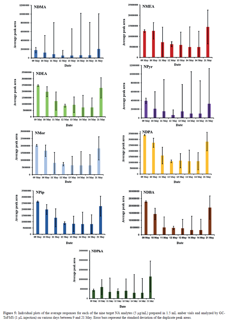
It was therefore important to monitor the mixed NA standard over time to check if the analytes underwent degradation prior to analysis. In the week of 9 to 14 May 2022, fresh 5 μg/mL duplicates (in 900 μL hexane + 100 μL acetone to make up a 1 mL solution) were prepared each day from a 10 μg/mL stock solution and were analyzed immediately by GC-ToFMS using the optimal conditions. The average response for each NA was plotted against time (in days) as shown in Fig. 4. The average peak area decreased drastically between 9 and 11 May whilst the peak areas stabilized somewhat between 12 and 14 May for most analytes.
The degradation of the individual NAs over time is represented in Fig. 5. For NDMA, NDEA, NPyr, NMor, NDPA, NPip, and NDBA there was a drastic decrease in response over the first three days (between 9 and 11 May). The responses for these NAs then stabilized over the next three days of the analysis (12 to 14 May inclusive). However, for NMEA, there was not much decrease in response between the first two days of the analysis (9 May to 10 May) but there was between the second and third days (10 May to 11 May). NDPhA had an irregular pattern in terms of instrument response.
Table S4 provides the percentages of the degradation of NAs over time based on peak areas. NPyr had the highest decrease in response of 83%, followed by NDBA (79%), and NDMA (70%). Between 11 and 14 May, there were minor additional decreases in the peak areas of the NAs which indicated stabilization. Negative percentages indicated that the response for the analyte on that particular day was greater than the one obtained on the first day of the analysis, i.e. 9 May. NDPhA had the greatest increase in response on 21 May as compared to the other days, followed by NDMA and NMEA. The average and the percent relative standard deviation (%RSD) are provided for the data in each column (Table S4), with the data in the first and last column having the highest %RSD indicating that there was high variability in the change in the individual NA peak areas for the days represented in these columns relative to the first day of analysis, when compared to that obtained for other days.
NAs are known to be susceptible to photodegradation and despite all attempts made to protect them from any possible degradation, they still degraded as evidenced by the decrease in peak areas. The same 5 μg/mL standard solutions (not freshly prepared) were again monitored after seven days (on 21 May), and the response for all analytes increased unexpectedly. What was expected was that the response would either remain stabilized or decrease further. The reason for this behaviour was then investigated using pyrene as a method check standard to correct for instrument instabilities. Deuterated nitrosamine internal standards are prohibitively expensive and thus were not considered for use in this study, particularly as they may also degrade in the same manner as the native compounds which reduces their applicability in stability investigations. Pyrene, on the other hand, is stable and was thus suitable for this application. The stability analysis was repeated with the use of pyrene as the method check standard from 30 May to 6 June at 5 μg/mL concentration for both the pyrene and NA analytes. Peak area ratios (analyte/pyrene) were plotted per day of analysis as shown in Fig. 6.
It can be noted from Fig. 6 that from 2 June peak area ratios (analyte/pyrene) gradually decreased, following the trend seen on the first days of analysis (refer to Fig. 4). On 30 May, dilution errors may have occurred that resulted in the peak areas being lower than those on 2 June. From 2 June, the peak area ratio decreased gradually, and this may indicate that the unexpected increase in response on 21 May (refer to Fig. 4) may have been caused by instrument instabilities as opposed to an increase in analyte concentration. The trend in peak area ratios for the individual analytes is evident in Fig. S4.
These results indicate that the detection of NAs at trace level is further complicated by their instability, as these compounds were found to degrade over time. If possible, it is best to conduct instrumental analysis on water samples for NAs within one day after collection thereof and regular preparation of fresh working standards of NAs from stock standards is needed, which has significant cost implications for commercial routine water testing laboratories. It is clear that highly sensitive instruments are needed for the analysis of NAs in water, but they are unfortunately not readily available for many analysts and researchers, especially in developing countries.
CONTEXTUALIZATION OF N-NITROSAMINE GUIDELINE VALUES IN WATER
In a study conducted by Hrudey et al. (2013), it was estimated that humans get more NDMA endogenously (produced within their bodies) rather than from acquiring it from external sources based on predicted NDMA concentrations in human blood using Monte Carlo modelling.29 The blood-based estimates were not outside the range calculated from estimates based on urinary NDMA excretion and those based on methylated guanine in the DNA of lymphocytes.29 They estimated that in the case of surface water systems employing free chlorine, drinking water accounts for an average daily NDMA dose ranging from 0.0002% to 0.001% of that for the average lifetime. For surface water systems using chloramines, this contribution varies from 0.001 to 0.01%.29
The Ontario Ministry in Canada has set 9 ng/L as the guideline limit for NDMA in drinking water.30 Additional guidelines are available in numerous reports and are summarised in the review by Tyhali and Forbes.19 According to the data that was presented by Hrudey and co-workers, it appears that it is highly conservative to have such low guidelines in water for NAs, as their concentrations in water were found to not make up a high contribution to the total human NA exposure.29 N-nitrosamine impurities have been detected as contaminants in various active pharmaceutical ingredients (APIs) such as sartan products, ranitidine, and others.31-33 Ranitidine reduces the secretion of acidity in the stomach and intestines,33 whilst valsartan is used to treat high blood pressure, heart failure, and kidney disease in diabetic patients,34,35 and would therefore be taken routinely for extended periods of time, as it is a chronic medication and may thus be an important route of NA exposure.
CONCLUSION
The guidelines set for NAs in drinking water by the WHO and regulatory limits in some developed countries are extremely low,19 thus they require specialized and expensive instruments for their detection. We report on the attempts to develop UPLC-QToFMS and GC-ToFMS methods for N-nitrosamine analysis to expand the number of laboratories with capacity to analyse these DBPs, and on the challenges associated with the use of these instruments. The same number of analytes (6 or 7 of 9 NAs) were detected for both APCI and ESI when analyzed by UPLC-QToFMS at concentrations >5 μg/mL, but APCI performed better at lower concentrations (0.5 and 1.0 μg/mL). A bigger injection volume (30 μL) did not result in the detection of more analytes but led to extensive peak broadening. A change in the mobile phase from MeOH/ultrapure water to 10 mM ammonium acetate and 0.01% acetic acid in HPLC-grade water/ MeOH did not further improve the sensitivity of the UPLC-QToFMS instrument.
A solvent mixture of hexane and acetone (9:1 v/v) was used to overcome the mismatch of MeOH with the nonpolar GC column. Standards of 5 μg/mL were used for stability assessments to ensure analyte detection, although it is acknowledged that this far exceeds expected environmental concentrations in water. Despite all precautions, stability analysis showed that NAs are very unstable, especially those of low molecular mass, namely NDMA and NMEA. These compounds were found to degrade over time with eight out of the nine NAs having decreased peak areas of > 60% on the fifth day. The detection of NAs at trace levels is thus further complicated by their instability. It was found that NPip, NDBA, and NDPA can be analysed at concentrations >0.5 μg/mL by UPLC-QToFMS, while all the nine target NAs can be analysed by GC-ToFMS but only at concentrations >5 μg/mL. These methods are therefore more suitable to the analysis of samples containing higher concentrations of NAs than in drinking water.
It is evident from the results of this study that the analysis of NAs is very challenging, as the required low detection levels are compounded by the instability of these analytes. In addition, matrix effects may be encountered in sample analysis which can hinder accurate quantitation of the target analytes, therefore matrix matched standards or standard addition approaches may be advisable. According to the literature, it appears that it is conservative to have such low NA guidelines in drinking water, as this may not be the primary exposure pathway for humans. The high cost of NA standards coupled with long delivery times (particularly to developing countries) and short expiry dates are significant challenges for the routine analysis of these unstable N-nitrosamine compounds by water testing laboratories. However, the toxic effects that have been ascribed to NAs emphasize the importance of conducting research to better understand these analytical challenges in order to progress towards overcoming them, and thereby protect human health in accordance with the precautionary principle and the United Nations Sustainability Development Goals.
SUPPLEMENTARY INFORMATION
Supplementary tables/figures/data are available for this article.
ACKNOWLEDGMENTS
The authors acknowledge the Department of Chemistry in the Faculty of Natural and Agricultural Sciences at the University of Pretoria, South Africa. Acknowledgments are also extended to Dr Yvette Naudé and Dr Madelien Wooding for their assistance with the gas and liquid chromatography instruments, respectively.
AUTHOR CONTRIBUTIONS
Akhona Tyhali: Methodology, Validation, Formal analysis, Data curation, Writing (Original draft preparation and Review & Editing); Patricia Forbes: Conceptualization, Visualization, Project administration, Methodology, Formal analysis, Writing (Review & Editing), Funding acquisition.
DECLARATION OF INTERESTS
There are no competing or financial interests to declare.
DECLARATION OF GENERATIVE AI AND AI-ASSISTED TECHNOLOGIES
Not applicable.
ORCID IDS
Akhona Tyhali: https://orcid.org/0000-0002-9518-9357
Patricia B.C. Forbes: https://orcid.org/0000-0003-3453-9162
REFERENCES
1. Berger M, Schmahl D, Zerban H. Combination experiments with very low doses of three genotoxic N-nitrosamines with similar organotropic carcinogenidty in rats. Carcinogenesis. 1987;8(11):1635-1643. https://doi.org/10.1093/carcin/8.11.1635. [ Links ]
2. Peto R, Gray R, Brantom P, Grasso P. Effects on 4080 rats of chronic ingestion of N-nitrosodiethylamine or N-nitrosodimethylamine: a detailed dose-response study. Cancer Res. 1991;51:6415-6451. [ Links ]
3. Andrzejewski P, Kasprzyk-Hordern B, Nawrocki J. N-nitrosodimethylamine (NDMA) formation during ozonation of dimethylamine-containing waters. Water Res. 2008;42(4-5):863-870. https://doi.org/10.1016/j.watres.2007.08.032. [ Links ]
4. Boyd J, Hrudey S, Li X-F, Richardson S. Solid-phase extraction and high-performance liquid chromatography mass spectrometry analysis of nitrosamines in treated drinking water and wastewater. Trends Analyt Chem. 2011;30(9):1410-1421. https://doi.org/10.1016/j.trac.2011.06.009. [ Links ]
5. Wang X, Liu Z, Wang C, Ying Z, Fan W, Yang W. Occurrence and formation potential of nitrosamines in river water and ground water along the Songhua River, China. J Environ Sci (China). 2016;50:65-71. https://doi.org/10.1016/j.jes.2016.05.021. [ Links ]
6. Mitch WA, Sedlak DL. Formation of N-nitrosodimethylamine (NDMA) from dimethylamine during chlorination. Environ Sci Technol. 2002;36(4):588-595. https://doi.org/10.1021/es010684q. [ Links ]
7. Park S, Jung S, Kim H. Regional and Seasonal Distributions of N-Nitrosodimethylamine (NDMA) Concentrations in Chlorinated Drinking Water Distribution Systems in Korea. Water. 2019;11(12):2645. https://doi.org/10.3390/w11122645. [ Links ]
8. Qian Y, Wu M, Wang W, Chen B, Zheng H, Krasner SW, Hrudey SE, Li X-F. Determination of 14 nitrosamines at nanogram per liter levels in drinking water. Anal Chem. 2015;87(2):1330-1336. https://doi.org/10.1021/ac504104k. [ Links ]
9. Liew D, Linge KL, Joll CA. Formation of nitrogenous disinfection byproducts in 10 chlorinated and chloraminated drinking water supply systems. Environ Monit Assess. 2016;188(9):518-16. https://doi.org/10.1007/s10661-016-5529-3. [ Links ]
10. Mhlongo SH, Mamba BB, Krause RW. Nitrosamines: a review on their prevalence as emerging pollutants and potential remediation options. Water SA. 2009;35(5):735-740. https://doi.org/10.4314/wsa.v35i5.49200. [ Links ]
11. Ding S, Chu W. Recent advances in the analysis of nitrogenous disinfection by-products. Trends Environ Anal Chem. 2017;14:19-27. https://doi.org/10.1016/j.teac.2017.04.001. [ Links ]
12. Vizioli BDC, Hantao LW, Montagner CC. Drinking water nitrosamines in a large metropolitan region in Brazil. Environ Sci Pollut Res Int. 2021;28(25):32823-32830. https://doi.org/10.1007/s11356-021-12998-4. [ Links ]
13. Kadmi Y, Favier L, Soutrel I, Lemasle M, Wolbert D. Ultratrace-level determination of N-Nitrosodimethylamine, N-Nitrosodiethylamine, and N-Nitrosomorpholine in waters by solid-phase extraction followed by liquid chromatography-tandem mass spectrometry. Open Chem. 2014;12(9):928-936. https://doi.org/10.2478/s11532-014-0537-z. [ Links ]
14. McDonald JA, Harden NB, Nghiem LD, Khan SJ. Analysis of N-nitrosamines in water by isotope dilution gas chromatography-electron ionisation tandem mass spectrometry. Talanta. 2012;99:146-154. https://doi.org/10.1016/j.talanta.2012.05.032. [ Links ]
15. Pozzi R, Bocchini P, Pinelli F, Galletti GC. Determination of nitrosamines in water by gas chromatography/chemical ionization/selective ion trapping mass spectrometry. J Chromatogr A. 2011;1218(14):1808-1814. https://doi.org/10.1016/j.chroma.2011.02.009. [ Links ]
16. Sieira BJ, Carpinteiro I, Rodil R, Quintana JB, Cela R. Determination of N-Nitrosamines by Gas Chromatography Coupled to Quadrupole-Time-of-Flight Mass Spectrometry in Water Samples. Separations. 2020;7(1):3. https://doi.org/10.3390/separations7010003. [ Links ]
17. Wang W, Hu J, Yu J, Yang M. Determination of N-nitrosodimethylamine in drinking water by UPLC-MS/MS. J Environ Sci (China). 2010;22(10):1508-1512. https://doi.org/10.1016/S1001-0742(09)60281-3. [ Links ]
18. Xia J, Chen Y, Huang H, Li H, Huang D, Liang Y, Zeng H, Chen W. Occurrence and mass loads of N-nitrosamines discharged from different anthropogenic activities in Desheng River, South China. Environ Sci Pollut Res Int. 2023;30(20):57975-57988. https://doi.org/10.1007/s11356-023-26458-8. [ Links ]
19. Tyhali A, Forbes PBC. N-nitrosamines in surface and drinking waters: an African status report. Trends Analyt Chem. 2023;158:116873. https://doi.org/10.1016/j.trac.2022.116873. [ Links ]
20. Ngongang AD, Duy SV, Sauvé S. Analysis of nine N-nitrosamines using liquid chromatography-accurate mass high resolution-mass spectrometry on a Q-Exactive instrument. Anal Methods. 2015;7(14):5748-5759. https://doi.org/10.1039/C4AY02967D. [ Links ]
21. Zhao Y-Y, Boyd J, Hrudey SE, Li X-F. Characterization of new nitrosamines in drinking water using liquid chromatography tandem mass spectrometry. Environ Sci Technol. 2006;40(24):7636-7641. https://doi.org/10.1021/es061332s. [ Links ]
22. Awad H, Khamis MM, El-Aneed A. Mass spectrometry, review of the basics: ionization. Appl Spectrosc Rev. 2015;50(2):158-175. https://doi.org/10.1080/05704928.2014.954046. [ Links ]
23. Bernal E, Guo X. Limit of detection and limit of quantification determination in gas chromatography. Adv Gas Chromatogr. 2014;3:57-63. https://doi.org/10.5772/57341. [ Links ]
24. Gegenschatz SA, Chiappini FA, Teglia CM, Muñoz de la Peña A, Goicoechea HC. Binding the gap between experiments, statistics, and method comparison: A tutorial for computing limits of detection and quantification in univariate calibration for complex samples. Anal Chim Acta. 2022;1209:339342. https://doi.org/10.1016/j.aca.2021.339342. [ Links ]
25. Portolés T, Mol J, Sancho J, Hernández F. Advantages of atmospheric pressure chemical ionization in gas chromatography tandem mass spectrometry: pyrethroid insecticides as a case study. Anal Chem. 2012;84(22):9802-9810. https://doi.org/10.1021/ac301699c. [ Links ]
26. Lee J, Lee S, Oh J. Analysis of nine nitrosamines in water by combining automated solid-phase extraction with high-performance liquid chromatography-atmospheric pressure chemical ionisation tandem mass spectrometry. Int J Environ Anal Chem. 2013;93(12):1261-1273. https://doi.org/10.1080/03067319.2013.803281. [ Links ]
27. Cheng RC, Hwang CJ, Andrews-Tate C, Guo YC, Carr S, Suffet IM. Alternative methods for the analysis of NDMA and other nitrosamines in water. J Am Water Works Assoc. 2006;98(12):82-96. https://doi.org/10.1002/j.1551-8833.2006.tb07826.x. [ Links ]
28. Mitch WA, Gerecke AC, Sedlak DL. N-nitrosodimethylamine (NDMA) precursor analysis for chlorination of water and wastewater. Water Res. 2003;37(15):3733-3741. https://doi.org/10.1016/S0043-1354(03)00289-6. [ Links ]
29. Hrudey SE, Bull RJ, Cotruvo JA, Paoli G, Wilson M. Drinking water as a proportion of total human exposure to volatile N-nitrosamines. Risk Anal. 2013;33(12):2179-2208. https://doi.org/10.1111/risa.12070. [ Links ]
30. Technical Support Document for Ontario Drinking Water Standards. Objectives and Guidelines; 2003. https://cvc.ca/wp-content/uploads/2011/03/std01_079707.pdf (accessed 16 January 2022). [ Links ]
31. Bharate SS. Critical analysis of drug product recalls due to nitrosamine impurities. J Med Chem. 2021;64(6):2923-2936. https://doi.org/10.1021/acs.jmedchem.0c02120. [ Links ]
32. Khorolskiy M, Ramenskaya G, Vlasov A, Perederyaev O, Maslennikova N. Development and validation of four nitrosamine impurities determination method in medicines of valsartan, losartan, and irbesartan with HPLC-MS/MS (APCI). Iran J Pharm Res. 2021;20:541. https://doi.org/10.22037%2Fijpr.2021.115102.15195. [ Links ]
33. Shaik KM, Sarmah B, Wadekar GS, Kumar P. Regulatory updates and analytical methodologies for nitrosamine impurities detection in sartans, ranitidine, nizatidine, and metformin along with sample preparation techniques. Crit Rev Anal Chem. 2022;52(1):53-71. https://doi.org/10.1080/10408347.2020.1788375. [ Links ]
34. Abraham HMA, White CM, White WB. The comparative efficacy and safety of the angiotensin receptor blockers in the management of hypertension and other cardiovascular diseases. Drug Saf. 2015;38(1):33-54. https://doi.org/10.1007/s40264-014-0239-7. [ Links ]
35. Burnier M, Lin S, Ruilope L, Bader G, Durg S, Brunel P. Effect of angiotensin receptor blockers on blood pressure and renal function in patients with concomitant hypertension and chronic kidney disease: a systematic review and meta-analysis. Blood Press. 2019;28(6):358-374. https://doi.org/10.1080/08037051.2019.1644155. [ Links ]
Received 1 May 2025
Revised 25 July 2025
Accepted 28 August 2025
* To whom correspondence should be addressed Email: patricia.forbes@up.ac.za
Supplementary Data
The supplementary data is available in pdf: [Supplementary data]












