Services on Demand
Journal
Article
Indicators
Related links
-
Cited by Google -
Similars in Google
Share
South African Journal of Enology and Viticulture
On-line version ISSN 2224-7904Print version ISSN 0253-939X
S. Afr. J. Enol. Vitic. vol.46 n.1 Stellenbosch 2025
https://doi.org/10.21548/46-1-6698
ARTICLES
Irrigation of Table Grapes With Refill Lines Set According to Midday Stem Water Potential - Soil Water Content and Seasonal Evapotranspiration
C.L. Howell
ARC Infruitec-Nietvoorbij1, Private Bag X5026, 7599, Stellenbosch, South Africa
ABSTRACT
Irrigation water is a limited resource in most table grape regions. Furthermore, agriculture competes with urban and industrial needs for water. If climate change reduces rainfall, it could put water resources under even more pressure. Therefore, table grape growers must use their available water efficiently by implementing sound irrigation scheduling practices. In this regard, it is fairly simple to measure midday stem water potential (ψS) and calibrate instruments used for irrigation scheduling against ψS. The objective of the study was therefore to develop guidelines to use this approach for table grape irrigation. The study was carried out in five red and five white commercial table grape vineyards in the Berg River Valley region. For each cultivar there were two plots adjacent to each other. The soil in the experiment plot was allowed to dry out until ψS reached -0.8 MPa. The other plot was irrigated with the rest of the block according to the growers' schedules. Soil water status and midday ψS were measured concurrently to determine the relationship between grapevine and soil water status for each cultivar. Once irrigation refill points were established, grapevines in the experiment plots were irrigated accordingly for three seasons. The results showed that midday ψS in most of the selected table grape cultivars was well correlated with the soil water content in the root zone. By using this approach to table grape vineyard irrigation scheduling, substantially less irrigation water was applied where grapevines were irrigated according to midday ψS compared to the grower's irrigation schedules.
Key words: drought, plant water potential, roots, water constraints, water footprint
INTRODUCTION
Due to long, dry summers and erratic winter rainfall, irrigation water is a scarce resource in the Western Cape region (Myburgh, 2018). Furthermore, agriculture has to compete with urban and industrial needs for water. If climate change reduces rainfall (Southey, 2017), it could put water resources under more pressure. Therefore, it is essential that table grape growers use irrigation water efficiently by means of sound irrigation-scheduling practices. The calibration of instruments used for scheduling is not necessarily correct or accurate enough. This is primarily because calibrations can differ between soils and/or different layers in the soil profile. Instruments can be calibrated against soil water content (SWC) or plant water status. However, soil calibrations are tedious and require specialised skills and equipment. On the other hand, it is fairly simple to measure grapevine water status by means of the pressure chamber technique (Myburgh, 2010). Refill points, i.e. when irrigation is required, are often selected haphazardly. Consequently, table grape vineyards are over-irrigated in many cases. This not only has a negative effect on the environment, but also has negative effects on grapevine growth, yield and fruit quality (Myburgh & Howell, 2015).
Predawn (ΨPD), as well as midday leaf (ΨL) and stem (ΨS) water potential, are proven measures to assess the water status of table grapes (Myburgh & Howell, 2022, and references therein). Furthermore, the water potential is correlated with grapevine responses, such as physiological processes, vegetative growth, berry size, yield and grape quality (Howell & Myburgh, 2023). This implies that water potential can be used to establish refill lines for irrigation scheduling for table grapes. In this regard, Myburgh and Howell (2022) reported that -0.8 MPa seemed to be a suitable ΨS threshold for water constraints in the pre-harvest period that would allow sustainable growth, as well as berry size and colour for anisohydric table grape cultivars. The optimum ΨS for berry colour was reported to range between -0.8 MPa and -1.0 MPa. Consequently, a midday threshold of -0.8 MPa can be used to set refill points for irrigation in table grape vineyards where SWC is measured on a regular basis. Taking the foregoing into consideration, instruments used for the irrigation scheduling of commercial table grape vineyards can be calibrated against grapevine water status to determine appropriate refill points.
The objective of this study was to determine the effect of irrigation applications where refill lines were set according to midday thresholds on the (i) variation in SWC, (ii) seasonal evapotranspiration and (iii) water saving in table grape vineyards.
MATERIALS AND METHODS
Experiment layout
The study was carried out in 10 commercial table grape vineyards in the Northern Paarl region of the Western Cape from September 2018 until June 2021. Five red and five white cultivars were included (Table 1). It should be noted that the list of cultivars included 2nd leaf, 3rd leaf and full-bearing grapevines, and that the Sweet GlobeTM vineyard had been re-grafted from Autumn Royal in 2016. The selected cultivars were planted on four different farms. For each cultivar, an experiment plot consisted of a central row, i.e. where measurements were carried out, and a buffer row on either side. The rows of an experiment plot were two panels long. Measurements representing the vineyard block were carried out in the next two panels. For the purpose of the article, the latter are referred to as "Block", whereas the experiment plots are referred to as "Experiment" plots. The irrigation systems were adapted to allow separate irrigation of each experiment plot. Except for irrigation, the grapevines in the experiment plots were managed in the same way as the rest of the block. However, in the case of the drip-irrigated Starlight (Table 1), a mini-fertigation system was designed for fertiliser application. Grapevines in the drip-irrigated experiment plot received the same type and amount of fertiliser as the rest of the block.
At the beginning of the project, soil pits 1.2 m deep were dug across the grapevine row for visual evaluation of the root systems. According to the four criteria used to qualify grapevine root systems (Myburgh, 2018), i.e. abundant and healthy fine roots that were at least 600 mm deep and well distributed laterally into the work row, all the vineyards had well developed root systems. However, in the case of the drip-irrigated Starlight, the lateral root distribution was limited to the wetting pattern of the irrigation system. The root systems indicated that effective deep soil preparation was carried out before the vineyards were planted. The fact that most root systems were at least 1 m deep implies that the vineyards would be well buffered during prolonged periods of drought. Furthermore, the deep root systems would also allow low-frequency irrigation, i.e. the practice where relatively large irrigations are applied at longer intervals.
Previous research indicated that a midday of -0.8 MPa seemed to be the optimum for table grapes (Myburgh & Howell, 2022). For the purpose of this study, the refill line for irrigation was defined as the SWC in the root zone where the midday in the grapevines reached -0.8 MPa. Hence, grapevines in the experiment plots were irrigated when the soil water was depleted to a level that corresponded to a midday of -0.8 MPa. The rest of the block was irrigated according to the grower's schedule.
Soil water status
The SWC was measured by means of a neutron probe (HYDROPROBE 503DR, CPN®, California). Count ratios, i.e. the counts obtained in the soil divided by a standard count taken in the air with the probe standing on its portage box, were calculated. The neutron probe count ratio was calibrated against gravimetric SWC for each of the 10 vineyards. The calibrations were carried out for each 30 cm increment to a depth of 120 cm. Calibrations were carried out after the winter, as the soil dried out, until the first irrigations were applied. The calibration lines were calculated by means of linear regression between gravimetric SWC and the neutron probe count ratio. The SWC was measured at three positions in the grapevine row in each plot - at 30 cm increments to a depth of 120 cm. The SWC measurements began at bud break in September 2018 and were terminated at the end of August 2021, i.e. before bud break in the 2021/2022 season. Measurements were carried out throughout the year, i.e. weekly from September until March, and every two weeks from April until August. The SWC was also measured before and after irrigations were applied. The "Full" point was considered as the SWC following heavy rain or an irrigation.
Setting the irrigation refill lines
Determining refill lines for irrigation began in October 2018, when there were adequate, fully developed leaves to allow midday measurements. As the soil dried out, SWC and midday were measured weekly. Midday was measured between 12:00 and 14:00, according to the protocol described by Myburgh (2010), using a pressure chamber (Scholander et al., 1965). A custom-made pressure chamber was used for the measurements. The pressure chamber was mounted on a motorcycle to enable rapid movement between, and into, the vineyards. The leaves were covered using aluminium bags (12 cm by 5 cm) with black linings one hour before measurements were made. Leaves were rolled up before they were covered by the bags. The bags were not removed during the measurements. Water potentials were measured in one leaf per plot from each of three grapevines. The weekly SWC and midday ΨS measurements were repeated until ΨS reached -0.8 MPa. The refill line for each cultivar was obtained from a plot of SWC against midday ΨS.
Rainfall and irrigation volumes
Rainfall meters were installed on each farm near the vineyards where the measurements were carried out. Rainfall, or precipitation, was recorded when SWC measurements were taken. Irrigation volumes were measured by means of water meters at each plot. Water meter readings were taken before and after irrigations. Long-term mean monthly rainfall data for the Eureka weather station in Northern Paarl were obtained from ARC Soil Climate and Water (ARC-SCW).
Seasonal evapotranspiration
Seasonal evapotranspiration (ET) of the blocks and experiment plots was calculated using the universal soil water balance equation:

where ∆SWC (mm) is the difference between the SWC at the beginning of September and the end of March, I is irrigation applied (mm), P is precipitation (mm), R is surface runoff (mm) and D is drainage below the root zone (mm). Visual observation revealed that no runoff occurred at most of the plots. Where runoff did occur, it was negligible compared to the volume of irrigation water. Considering the fact that the water content in the 120 cm layers showed almost no increase after irrigations were applied, it suggests that drainage below the root zone could also be ignored. Seasonal ET was calculated for the 2018/2019, 2019/2020 and 2020/2021 seasons
Statistical analyses
In order to compare the results obtained with irrigation according to midday ΨS to those obtained by the growers' strategy, the 10 cultivars were considered as replications. The data was subjected to analysis of variance (ANOVA) using the GLM (General Linear Models) procedure of SAS software (Version 9.4; SAS Institute Inc, Cary, USA). The Shapiro-Wilk test was performed on the standardised residuals from the model to test for deviation from normality. Fisher's least significant difference was calculated at the 5% level to compare treatment means. A probability level of 5% was considered significant for all significance tests. Regression analyses were carried out using an Excel® spreadsheet.
RESULTS AND DISCUSSION
Seasonal rainfall
The Northern Paarl region has a Mediterranean climate, i.e. cold, wet winters followed by long, dry summers (Myburgh, 2018). Under such conditions, the winter rainfall is usually adequate to restore the soil water in the root zone to field capacity when the growing season begins. During the study period, winter rainfall was adequate, except from June to August 2019, when the rainfall was below average (Table 2). However, rainfall in spring and early summer is also an important water source for table grapes and can save a substantial amount of irrigation water. Rainfall during berry ripening may damage the crop. Fortunately, rainfall in January and February was relatively low during the study period (Table 2).
Neutron probe calibration
There were reasonably good correlations between the SWC and the neutron probe count ratios for all cultivars. In some vineyards, only one calibration line sufficed for all the depths (data not shown). This implies that the soil texture was fairly homogenous in the root zone of these vineyards. However, more than one calibration line was required in the other vineyards, particularly where the clay was closer to the soil surface. A generic bulk density was used to convert the readings to mm.
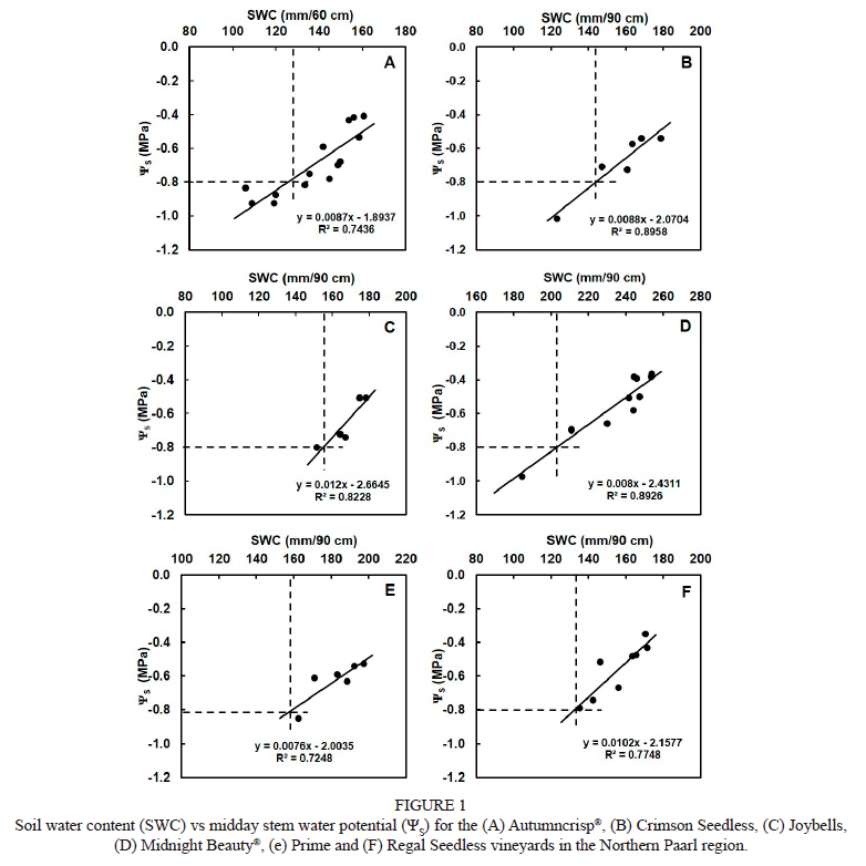
The relationship between grapevine water status and soil water content
Midday generally correlated well with the SWC in the 0 cm to 90 cm layer for most cultivars (Figs. 1 & 2). This suggested that most of the roots occurred to a depth of 90 cm. In the case of the Autumncrisp® and Sweet Globe™ vineyards, most of the roots occurred to a depth of 60 cm. Consequently, the refill lines were adjusted according to the SWC in the 0 cm to 60 cm soil layer for these vineyards. In the case of Scarlotta Seedless®, midday ΨS was poorly related to the SWC (Fig. 2A). A perusal of the data revealed that the midday was abnormally high on one measurement day when the minimum relative humidity (RHn) was high during the day, and vice versa on another day when the RHn was low. Consequently, the data for these two days were considered as outliers. In practice, this implies that data collected on days when the RHn is relatively high or low should not be considered when setting refill lines for irrigation according to midday ΨS for Scarlotta Seedless®, or for cultivars that show similar responses to RHn. The high and low RHn limits, as well as which other cultivars might be sensitive to RHn variability, should be determined by continued research and was beyond the scope of the current study. The midday ΨS of the other cultivars appeared to be less sensitive to variations in RHn.
Soil water content
2018/2019 season
Autumncrisp®: The recommended guideline for the irrigation of young, non-bearing grapevines is to apply irrigation when the extension of the shoot tips stops (Myburgh, 2018). Since the roots are forced to absorb water from the deeper layers as the top soil dries out, it will encourage root development into the deeper soil layers. The first irrigation was applied to the Autumncrisp® grapevines in the experiment plot when the midday ΨS reached -0.8 MPa (Fig. 3). However, when visual observation revealed that the shoot tips were still active when the next irrigation was due, the refill line was lowered to -1.1 MPa. When shoot elongation still continued on 2 February, the refill line was lowered to -1.4 MPa. On 27 February, a relatively small irrigation was applied to flush fertilisers into the soil. In contrast with the experiment plot, the Autumncrisp® block received small irrigations more frequently. This strategy caused a steady decline in SWC as the growing season progressed (Fig. 3). This is similar to a deficit irrigation strategy often found in full-bearing wine grape vineyards (Lategan, 2011; Myburgh, 2018).
Crimson Seedless: Due to power failures and a break in the main water supply at a critical stage, the Crimson Seedless grapevines in the experiment plot did not receive their first irrigation on time (Fig. 4). Consequently, the SWC fell below the refill line. However, the remainder of the irrigations were applied when the refill line that corresponded to -0.8 MPa was reached. Except for a small irrigation to flush fertilisers into the soil, no other post-harvest irrigations were applied to the grapevines in the experiment plot. Following the drying out early in the growing season, the profile in the Crimson Seedless block was not refilled to the full line, and the SWC remained well below the refill line (Fig. 4). This was due to the small, frequent irrigations applied. The latter strategy also caused a slight, but steady, decline in the SWC as the season progressed.
Joybells: Except that the first irrigation did not completely fill the profile, the SWC in the Joybells experiment plot remained within the full and refill lines up to the irrigation that was applied after harvest (Fig. 5). Following this, only one post-harvest irrigation was applied, in early March, to flush fertilisers into the soil. In the case of the Joybells block, small irrigations resulted in a gradual decline in SWC, to the extent that it remained well below the refill line throughout the growing season (Fig. 5).
Midnight Beauty®: Except that the first irrigation was applied slightly too late, the SWC in the Midnight Beauty® experiment plot remained within the full and refill lines up to the irrigation that was applied after harvest (Fig. 6). Following this, only one post-harvest irrigation was applied at the end of February to flush fertilizers into the soil. In the case of the commercial Midnight Beauty® block, small irrigations were frequently applied. However, in this case the SWC did now show a continuous, gradual decline. In fact, it remained either above or below the refill line throughout the growing season (Fig. 6).
Prime: The SWC in the Prime experiment plot remained within the full and refill lines up to the irrigation that was applied after harvest (Fig. 7). Following this, only one more post-harvest irrigation was applied at the end of February to flush fertilizers into the soil. In the case of the Prime block, the small, frequent irrigations caused the SWC to remain well above the refill line throughout the growing season (Fig. 7).
Regal Seedless: Except that the first irrigation did not completely fill the profile, the SWC in the experiment plot remained within the full and refill lines up to the irrigation that was applied before harvest (Fig. 8). Following this, only one post-harvest irrigation was applied near the end of February to flush fertilizers into the soil. In the case of the Regal Seedless block, small, frequent irrigations caused the SWC to remain above the refill line throughout the growing season, but never reached the full line (Fig. 8).
Scarlotta Seedless®: The SWC in the Scarlotta Seedless® experiment plot remained within the full and refill lines up to the irrigation that was applied before harvest (Fig. 9). Following this, only one post-harvest irrigation was applied near the end of March to flush fertilizers into the soil. In the case of the Scarlotta Seedless® block, small, frequent irrigations during the first part of the season caused the SWC to decline, and then remain around the refill line (Fig. 9). However, from the end of January the SWC tended to increase due to slightly bigger irrigations. Consequently, the SWC remained above the refill line until harvest.
Starlight: The Starlight grapevines were drip irrigated by means of 2.3 L/h drippers spaced 60 cm apart In the first season, the entire commercial block was irrigated according to midday Ψ8. To reduce the risk of restricted berry development for the grower, the block was irrigated at a refill line that corresponded to -0.7 MPa. Due to infrastructure limitations on the farm, it was not possible to fill the profile in the block after the SWC had reached the refill line (Fig. 10). As a result, the soil profile in the Starlight block gradually dried out as the season progressed. This was primarily due to drying of the deeper soil layers (data not shown). Grapevines in the experiment plot were irrigated at -0.8 MPa. Consequently, the grapevines in the Starlight experiment plot were irrigated less frequently than the block (Fig. 10).
Sweet GlobeTM: The SWC in the Sweet Globe™ experiment plot remained within the full and refill lines up to the irrigation that was applied before harvest (Fig. 11). In this case, fertilizers were flushed into the soil by 16 mm rainfall in middle March. In the case of the Sweet GlobeTM block, small, frequent irrigations during the first part of the season caused the SWC to decline (Fig. 11). However, from the middle of December there were slightly bigger irrigations. Consequently, the SWC remained within the full line and refill line until harvest as well as in the post-harvest period.
Tawny Seedless: The SWC in the Tawny Seedless experiment plot remained within the full and refill lines up to the irrigation that was applied after harvest (Fig. 12). Following this, only one more irrigation was applied in early February to flush fertilizers into the soil. In the case of the block section, the small, frequent irrigations caused the SWC to decline during the first part of the season (Fig. 12). However, the SWC did not continue to decline in the second part of the season but remained below the refill line.
2019/20 season
In the 2019/20 season, substantially less rain fell in winter and early spring compared to the 2018/19 season and the long term mean (Table 2). Due to the low rainfall, the SWC was less than field capacity at bud break. However, the SWC was still sufficient to allow normal bud break. If the soil had been "topped up" at bud break, there was a risk that rainfall shortly after the irrigation might have caused leaching beyond the root depth. In situations where irrigation water is limited, such leaching will only be a waste. If relatively dry soil conditions prevail around bud break, i.e. if the SWC is below the refill line that corresponds with a midday ΨS of -0.8 to -1.0 MPa, irrigation must be applied to restore field capacity.
Given the lower SWC, grapevines in the experiment plots generally required irrigation earlier in the 2019/20 season compared to the 2018/19 season. It should be noted that root studies in October 2019 revealed that there were only roots in the 0-60 cm soil layer of the SweetglobeTM and the irrigation scheduling was therefore adapted. Before harvest, grapevines in all the experiment plots were irrigated when midday ΨS reached -0.8 MPa (data not shown), except for the Autumncrisp® (Fig. 13). The Autumncrisp® vineyard is planted in a clayey soil with a higher water holding capacity compared to the other cultivars. Given the vigorous vegetative growth observed at the beginning of the season, irrigating the Autumncrisp® according to a midday of -0.8 MPa would clearly have resulted in unnecessary growth. Consequently, grapevines in the experiment plot were irrigated when midday ΨS reached -1.0 MPa (Fig. 13). To avoid unnecessary high SWC from harvest until the end of March, it was decided to lower the refill lines for all the cultivars to correspond with a midday ranging between -1.0 and -1.2 MPa. It must also be noted that the Autumncrisp® and Joybells grapevines had bigger canopies that required more irrigation compared to the 2018/19 season. Due to this, as well as irrigation required earlier in the season and more post-harvest irrigation, the average irrigation requirement of the micro-sprinkler irrigated grapevines in the experiment plots was generally ca. 40% higher compared to the 2018/19 season. In the case of the drip irrigated Starlight, only 5% more irrigation was required in 2020. Grapevines in most blocks that were irrigated according to the grower's schedules received small, but more frequent irrigations, except for the Scarlotta Seedless® block where bigger irrigations were applied further apart. The SWC in the blocks showed three basic trends. In the Prime, Regal Seedless, Starlight and Sweet GlobeTM blocks the SWC remained above the -0.8 MPa refill line up to the end of March (data not shown). The SWC in the Joybells, Midnight Beauty®, Scarlotta Seedless® and Tawny Seedless blocks only remained above the -0.8 MPa refill line (data not shown) up to harvest. In the case of the Autumncrisp® (Fig. 13) and Crimson Seedless blocks (data not shown), the SWC fell well below the -0.8 MPa refill line before harvest (data not shown).
2020/21 season
Due to adequate rainfall in winter and early spring (Table 2), the SWC was close to field capacity at bud break. Before harvest, grapevines in all the experiment plots were irrigated when midday ΨS reached -0.8 MPa, except for the Autumncrisp®. Due to the high clay content in the soil, irrigation runoff in the Autumncrisp® experimental plot became worse over time. Consequently, the irrigation depth was reduced to 60 cm in the 2020/21 season to avoid excessively long irrigations and runoff. Furthermore, visual observation revealed that the grapevines showed no signs of water constraints when the SWC fell below the refill line corresponding to a midday ΨS of -0.8 MPa. Hence, the pre-harvest midday ΨS threshold for this particular plot was set at -1.2 MPa (Fig. 14). Grapevines in most blocks that were irrigated according to the grower's schedules received small, but more frequent irrigations, except for the Scarlotta Seedless® block where bigger irrigations were applied further apart. The SWC in the blocks again showed three basic trends. In the Midnight Beauty®, Prime, Regal Seedless, Starlight and Sweet GlobeTM blocks the SWC remained above the -0.8 MPa refill line up to the end of March (data not shown). The SWC in the Autumncrisp® block also remained above the adjusted -1.0 MPa refill line (Fig. 14). The SWC in the Scarlotta Seedless® and Tawny Seedless blocks only remained above the -0.8 MPa refill line (data not shown) up to harvest. In the case of the Crimson Seedless and Joybells blocks, the SWC fell well below the -0.8 MPa refill line before harvest (data not shown). Due to the good rainfall in May and the last week of June 2021, the SWC was at, or close to, field capacity in most of the vineyards at the beginning of July (data not shown).
In the 2018/19 and 2019/20 seasons, irrigation of grapevines in the experiment plots was reduced after the grapes were picked. However, the midday of some vineyard blocks did not fall below ca. -1.2 MPa even if no irrigation was applied. This implied that the grapevines were not subjected to any detrimental water constraints after the gapes were picked. Based on this, it was decided to apply the same post-harvest irrigation strategy to all the experiment plots in the 2020/21 season. According to this strategy, irrigation was stopped after the grapes were picked. The latter obviously varied between the different cultivars. The soil was then allowed to dry out until the decline in water content began to flatten out before irrigation was applied. In doing so, a second refill line was established for the post-harvest period. The water constraints experienced by the grapevines when the SWC reached this refill line were estimated from the relationship between midday and SWC as determined in the 2018/19 season. The post-harvest refill lines corresponded with midday that ranged between -0.9 MPa and -1.2 MPa for the different cultivars. It must be noted that the Prime and Starlight were exceptions to some extent. Due to its earliness, the Prime received only one irrigation after harvest when SWC reached the -0.8 MPa refill line (data not shown ). Since the Starlight also ripened early, and due to the gravelly nature of the soil, irrigation was applied according to the -0.8 MPa refill line until 25 January 2021 (data not shown). Furthermore, in some cases small irrigations were required to leach post-harvest fertilizers into the soil. The 43 mm rainfall recorded in March probably also reduced the post-harvest irrigation requirement in the 2020/21 season.
Seasonal evapotranspiration
2018/19 season
In the case of the full bearing Crimson Seedless, Prime, Regal Seedless, Scarlotta Seedless® and Starlight vineyards, the seasonal soil water balance ET of the block was at least 75 mm higher than the ET of the experiment plots, i.e. where the refill lines were set according to midday ΨS (Table 3). The seasonal ET was more comparable for the full bearing Midnight Beauty®, Sweet GlobeTM and Tawny Seedless vineyards. In the case of the two younger vineyards, i.e. the Autumncrisp® and Joybells, the seasonal ET of the blocks was also comparable to the ET of the experiment plots. However, it must be noted that all the blocks received small, frequent irrigations as opposed to the experiment plots that received bigger irrigations further apart. The only exceptions were the Autumncrisp®, Joybells and Tawny Seedless blocks where the grower also applied small irrigations, but at a lower frequency (Table 3).
2019/20 season
In the case of the full bearing Prime and Regal Seedless vineyards, as well as the 3rd leaf Autumncrisp®, the seasonal ET of the block was appreciably higher than the ET of the experiment plots, i.e. where the refill lines were set according to a midday ΨS of -0.8 MPa (Table 3). Seasonal ET of the Joybells and Scarlotta Seedless® blocks was approximately 100 mm more than their corresponding experiment plots. The seasonal ET differed by than 50 mm in the case of the Midnight Beauty®, Starlight, Sweet GlobeTM and Tawny Seedless vineyards (Table 3). In contrast to the first season, the Crimson Seedless in the experiment plot required 77 mm more water than the block. On average, the seasonal ET of the micro-sprinkler irrigated blocks was 16% higher compared to the experiment plots. However, for the three farms, the seasonal ET differences between the blocks and the experiment plots amounted to 3%, 9% and 25%, respectively. The differences between farms are primarily due to different irrigation management strategies.
2020/21 season
In the case of the Prime and Regal Seedless vineyards, the seasonal ET of the block was appreciably higher than the ET of the experiment plots, i.e. where the refill lines were set according to a midday ΨS of -0.8 MPa (Table 3). Seasonal ETSWB of the Crimson Seedless and Midnight Beauty® blocks also exceeded the ET of the experiment plots by more than 200 mm. Except for the Autumncrisp®, the ET of the other blocks was between 100 mm and 20 mm more than their corresponding experiment plots. On average, the seasonal ET of the micro-sprinkler irrigated blocks was 40% higher compared to the experiment plots in the 2020/21 season. However, for the three micro-sprinkler irrigated farms, the seasonal ET differences between the blocks and the experiment plots amounted to 24%, 46% and 48%, respectively. The differences between farms are primarily due to the different irrigation management strategies followed by the growers. The seasonal ET of the drip irrigated Starlight block was 30% higher than the ET of the grapevines in the experiment plot.
Analyses of water saving
The pre- and post-harvest irrigations were separated for the statistical analyses. It must be noted that for each cultivar, the post-harvest period began when the grapes were picked. The growers tended to apply slightly more irrigation in the pre-harvest period compared to irrigation according to midday ΨS (Fig. 15). For six of the cultivars, the pre-harvest irrigation volumes applied by the growers were comparable to the irrigation applied to grapevines in the experiment plots. However, the other four cultivars were over irrigated by approximately 30%. Hence, where irrigation was applied according to midday grapevines received approximately 7% less irrigation on average in the pre-harvest period. In the post-harvest period, the growers applied almost the same irrigation volumes as in the pre-harvest period (Fig. 15). In contrast, irrigation according to midday ΨS reduced post-harvest irrigation volumes for all the cultivars drastically, i.e. 87% less compared to the growers' irrigation scheduling strategies.
CONCLUSIONS
Results showed that midday ΨS in table grapes is well related to SWC in the root zone for most cultivars. It was therefore possible to use ΨS to set credible refill lines according to grapevine water requirements. However, there is evidence that this relationship might be affected by RHn during the day for cultivars such as Scarlotta Seedless®. Automatic recording probes are often used in table grape vineyards to measure the SWC and midday ΨS can be related to any probe. However, there must be a good correlation between the reading recorded by the probe and the actual SWC. Therefore, irrigation consultants who usually supply and install probes must use pressure chambers to set irrigation refill lines according to midday ΨS thresholds. It must be noted that once the refill lines are set for a specific block there is no need for further midday ΨS measurements in that block.
By applying the -0.8 MPa threshold for midday ΨS prior to the harvest of table grapes and reducing the threshold to -1.2 MPa after harvest, substantial volumes of irrigation water were saved. Irrigation according to these ΨS thresholds can also be applied in regions where winter rainfall is low, e.g. the Olifants River and Orange River regions as well as Limpopo and Mpumalanga. However, table grape vineyards in these particular regions will certainly require more post-harvest irrigation compared to those in parts of the Western Cape where winter rainfall is usually higher. The water savings have numerous advantages for growers, as well as the table grape industry. For growers, production costs can be reduced if less irrigation uses less electricity. The effect of increasing water tariffs on production cost will also be less if less water can be used. In the case of early ripening cultivars, the water that is saved by reducing irrigation once the grapes have been picked can be used for irrigation of late ripening cultivars. This aspect is of particular importance when mid to late season water restrictions are imposed, thereby leaving inadequate irrigation for late cultivars. Over-irrigation is not only putting scarce water resources under pressure but can also be detrimental to the environment if fertilizers, herbicides and other chemicals used for grape production are eventually leached into natural water bodies. Therefore, using less irrigation water will reduce the risk of damage to the environment. Grapevine responses will be presented in the follow up article.
LITERATURE CITED
Howell, C.L. & Myburgh, P.A., 2023. Using grapevine water status measurements for irrigation scheduling of table grapes - A review. S. Afr. J. Enol. Vitic. 44, 75-80. [ Links ]
Lategan, E.L., 2011. Determining of optimum irrigation schedules for drip irrigated Shiraz vineyards in the Breede River Valley. Thesis, Stellenbosch University, Private Bag X1, 7602 Matieland (Stellenbosch), South Africa. [ Links ]
Myburgh, P.A., 2010. Practical guidelines for the measurement of water potential in grapevine leaves. Wineland Technical Yearbook 2010, 11-13. [ Links ]
Myburgh, P.A., 2018. Handbook for irrigation of wine grapes in South Africa. Agricultural Research Council, Pretoria, South Africa. [ Links ]
Myburgh, P.A. & Howell, C.L., 2015. Guidelines for preventing over-irrigation of table grapes. SA Fruit Journal June/July, 50-53. [ Links ]
Myburgh, P.A. & Howell, C.L., 2022. Determining a midday stem water potential threshold for irrigation of table grapes. S. Afr. J. Enol. Vitic. 43, 96-102. [ Links ]
Scholander, P.F., Hammel, H.T., Bradstreet, E.D., & Hemmingsen, E.A., 1965. Sap pressure in vascular plants. Science 148, 339-346. [ Links ]
Southey, T., 2017. Integrating climate and satellite remote sensing to assess the reaction of Vitis vinifera L. cv. Cabernet Sauvignon to a changing environment. PhD dissertation, Stellenbosch University, Private Bag X1, 7602 Matieland (Stellenbosch), South Africa. [ Links ]
Accepted for publication: December 2024
* Corresponding author: howellc@arc.agric.za
Acknowledgements: The South African Table Grape Industry (SATI) and Agricultural Research Council (ARC) are thanked for funding the research project, and the ARC for infrastructure and other resources. JDK (Pty) Ltd, Mr J. Basson and Hoekstra Fruit Farms are acknowledged for the permission to work in their vineyards, as well as technical assistance. Colleagues in the Soil and Water Science Division at ARC Infruitec-Nietvoorbij are thanked for technical support, in particular Mr F. Baron & Mrs K. Freitag. Mrs M. van der Rijst is thanked for statistical analyses, and Netafim South Africa for donating irrigation equipment
1 The Fruit, Vine and Wine Institute of the Agricultural Research Council












